Background: Four doses of methotrexate (MTX) given on day +1, +3, +6, and +11 after allogeneic stem cell transplant (HSCT) is considered one of the most common graft-versus-host disease (GVHD) prophylaxis regimen. However, mucositis and occasionally transaminitis prohibit safe delivery of the fourth dose of MTX. Prior single institution studies showed conflicting results comparing the outcomes of patients who received 3 vs 4 doses of MTX but to our knowledge, the effect of concomitant anti-thymocyte globulin (ATG) use has not been reported. As both ATG and MTX synergistically prevent GVHD via suppressive effects on T-cells. Our institution uniquely incorporates ATG as part of the conditioning regimen for patients receiving HSCT from 10/10 loci match unrelated donors (MUD) and here we report the clinical outcomes between patients who received 3 versus (vs) 4 doses of MTX.
Methods: We retrospectively reviewed the charts of patients who underwent HSCT from MUD between 2009 to 2023 at the University of Iowa Hospital and Clinics. We use rabbit ATG (Thymoglobulin R), given at 0.5 mg/kg on day -3, 2 mg/kg on day -2, and 2.5 mg/kg on day -1. MTX is given at 15 mg/m 2 on day +1 and 10 mg/m 2 on day +3, +6 and +11 per institutional protocol.
Statistical Analysis: Time was calculated from transplant to recurrence or death for recurrence-free survival (RFS) and overall survival (OS), respectively. For acute and chronic GVHD (aGVHD and cGVHD), time was calculated from transplant to onset of acute and chronic GVHD. Relapse and death were considered as competing events. For non-relapse mortality (NRM), time was calculated from transplant to death; relapse was considered a competing event. Cox regression and Fine-Gray competing risk models were used to estimate the effect of patient, disease, and treatment characteristics on outcomes
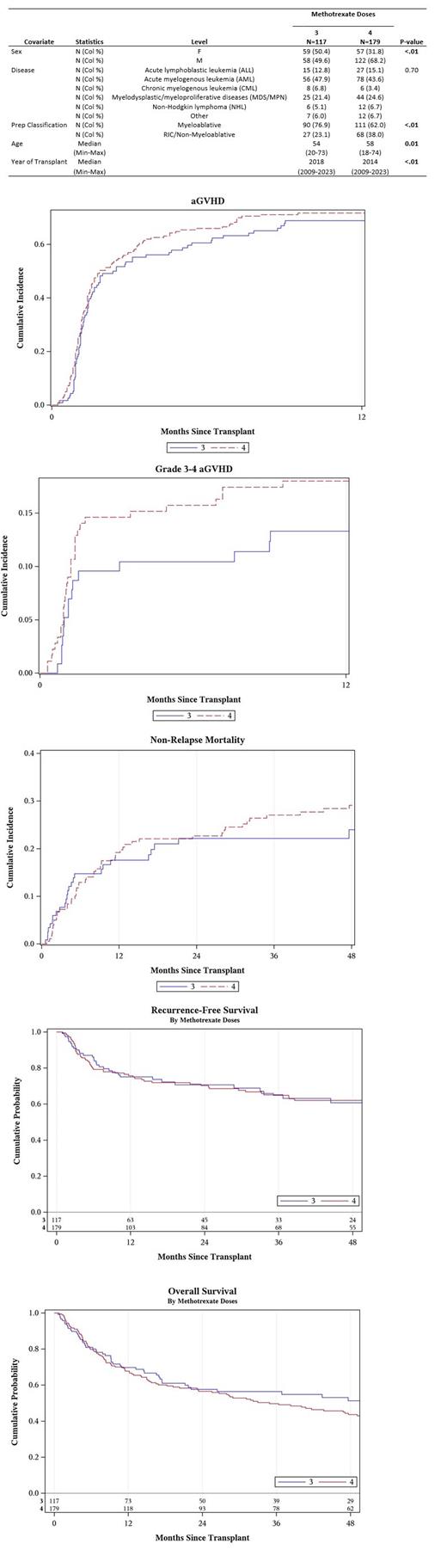
Results: We identified 296 patients with various indications of HSCT; the most common was acute myeloid leukemia (45.3%). There were 117 and 179 patients who received 3 doses and 4 doses of MTX respectively. Patients characteristics reported in table 1. Median follow-up was 21.9 months (range 0.6 to 150.8). Patients who received 4 doses of MTX were more frequently male (68.2% vs 49.6%, p<0.01), received a reduced intensity (compared to myeloablative) preparative regimen (38.0% vs 23.1%, p<0.01), were older (median 58 vs 54 years, p=0.01), and underwent transplant at an earlier year (median year of transplant 2014 vs 2018, p<0.01). Severe mucositis was the most common reason for omission of the 4 th dose of MTX.
Maximum grade of aGVHD was similar between cohorts (p=0.83). A statistically significant difference was not evidenced between patients receiving 4 versus 3 doses of MTX for the following outcomes: aGVHD (HR 1.11, 95% CI 0.84-1.46), grade 3-4 aGVHD (HR 1.41, 95% CI 0.77-2.60), RFS (HR 1.01, 95% CI 0.66-1.56), NRM (HR 1.33, 95% CI 0.84-2.10) and OS (HR 1.21, 95% CI 0.87-1.69). While significant on univariate analysis, MTX dose was not significantly associated with extensive cGVHD (HR 1.44, 95% CI 0.92-2.26) after adjustment for transplant year. Additionally, the median time to neutrophil engraftment was 14 days in both cohorts.
Conclusion: When ATG is used concomitantly, omission of the 4 th dose of MTX does not significantly impact the rate of neutrophil engraftment, cumulative incidence of aGVHD, cGVHD, RFS, NRM, and OS after HSCT from MUD. However, a small sample size and non-randomized nature of this study prompts further confirmation study from a large prospective multicenter randomized control trial.
Disclosures
Farooq:Kite, a Gilead Company: Honoraria; MorphoSys: Consultancy; Caribou: Consultancy, Honoraria; Regeneron: Research Funding.

This feature is available to Subscribers Only
Sign In or Create an Account Close Modal